1. 設計電壓
電纜及附件的設計必須滿足額定電壓、雷電沖擊電壓、操作沖擊電壓和系統最高電壓的要求。其定義如下:
額定電壓額定電壓是電纜及附件設計和電性試驗用的基準電壓,用U0/U表示。U0——電纜及附件設計的導體和絕緣屏蔽之間的額定工頻電壓有效值,單位為kV;U——電纜及附件設計的各相導體間的額定工頻電壓有效值,單位為kV。
雷電沖擊電壓 UP——電纜及附件設計所需承受的雷電沖擊電壓的峰值,既基本絕緣水平BIL,單位為kV。
操作沖擊電壓 US——電纜及附件設計所需承受的操作沖擊電壓的峰值,單位為kV。
系統最高電壓 Um——是在正常運行條件下任何時候和電網上任何點最高相間電壓的有效值。它不包括由于故障條件和大負荷的突然切斷而造成的電壓暫時的變化,單位為kV。
定額電壓參數見下表:

2.導體電阻
2.1導體直流電阻

式中:
R'——單位長度電纜導體在θ℃溫度下的直流電阻;
A——導體截面積,如導體右n根相同直徑d的導線扭合而成,A=nπd2/4;
ρ20——導體在溫度為20℃時的電阻率,對于標準軟銅 ρ20=0.017241Ω·mm2/m:對于標準硬鋁:ρ20=0.02864Ω·mm2/m;
α——導體電阻的溫度系數(1/℃);對于標準軟銅:=0.00393℃-1;對于標準硬鋁:=0.00403℃-1;
k1——單根導線加工過程引起金屬電阻率的增加所引入的系數。一般為1.02-1.07(線徑越小,系數越大);具體可見《電線電纜手冊》表3-2-2;
k2——用多根導線絞合而成的線芯,使單根導線長度增加所引入的系數。對于實心線芯,=1;對于固定敷設電纜緊壓多根導線絞合線芯結構,=1.02(200mm2以下)~1.03(240mm2以上)
k3——緊壓線芯因緊壓過程使導線發硬、電阻率增加所引入的系數(約1.01);
k4——因成纜絞合增長線芯長度所引入系數,對于多芯電纜及單芯分割導線結構,(約1.01);]
k5——因考慮導線允許公差所引入系數,對于緊壓結構,約1.01;對于非緊壓型, k5=[d/(d-e)]2(d為導體直徑,e為公差)。
20℃導體直流電阻詳見下表:

2.2 導體的交流電阻
在交流電壓下,線芯電阻將由于集膚效應、鄰近效應而增大,這種情況下的電阻稱為有效電阻或交流電阻。電纜線芯的有效電阻,國內一般均采用IEC-287推薦的公式 :R=R′(1+YS+YP)
式中:
R——最高工作溫度下交流有效電阻,Ω/m;
R′——最高工作溫度下直流電阻,Ω/m;
YS——集膚效應系數,YS=XS4/(192+0.8XS4),
XS4=(8πf/R′×10-7kS)2;
YP——鄰近效應系數,YP=XP4/(192+0.8XP4)(Dc/S)2{0.312(Dc/S)2+1.18/[XP4/(192+0.8XP4)+0.27]},XP4=(8πf/R′×10-7kP)2。
XS4——集膚效應中頻率與導體結構影響作用。
XP4——鄰近效應中導體相互間產生的交變磁場影響作用;
f——頻率;
Dc——線芯直徑,m;
S——線芯中心軸間距離,m;
ks——線芯結構常數,分割導體ks=0.435,其他導體ks=1.0;
kp——線芯結構系數,分割導體kp=0.37,其他導體kp=0.8~1.0;
對于使用磁性材料制做的鎧裝或護套電纜,Yp和Ys應比計算值大70%,即:
R=R′[1+1.17(YS+YP)]
3. 電纜的電感
3.1自感
則單位長度線芯自感:
Li=2W/(I2L)=μ0/(8π) =0.5×10-7
式中:
Li——單位長度自感,H/m;
μ0——真空磁導率,μ0=4π×10-7,H/m;
以上一般是實心圓導體,多根單線規則扭絞導體如下表:

因誤差不大,計算一般取Li=0.5×10-7H/m
3.2高壓及單芯敷設電纜電感
對于高壓電纜,一般為單芯電纜,若敷設在同一平面內(A、B、C三相從左至右排列,B相居中,線芯中心距為S),三相電路所形成的電感根據電磁理論計算如下:
對于中間B相:
LB=Li+2ln(2S/Dc) ×10-7 ( H/m)
對于A相:
LA=Li+2ln(2S/Dc) ×10-7 -α(2ln2 )×10-7 (H/m)
對于C相:
LC=Li+2ln(2S/Dc) ×10-7 -α2(2ln2 )×10-7 (H/m)
式中:

實際計算中,可近似按下式計算:
LA=LB=LC=Li+2ln(2S/Dc) ×10-7 ( H/m)
同時,經過交叉換位后,可采用三段電纜電感的平均值,即:
L=Li+2ln(2×(S1S2S3)1/3/Dc) ×10-7 ( H/m)
=Li+2ln(2×21/3S/Dc) ×10-7 ( H/m)
對于多根電纜并列敷設,如果兩電纜間距大于相間距離時,可以忽略兩電纜相互影響。
3.3 三相電纜的電感
主要計算中低壓三相電纜三芯排列為“品”字形電纜。根據電磁場理論,三芯電纜工作電感為:L=Li+2ln(2S/Dc)×10-7
式中:
L——單位長度電感,H/m;
S——電纜中心間的距離,m;
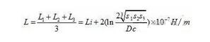
若三芯電纜電纜中心間的距離不等距,或單芯三根品字排列時三相回路電纜的電感按下式計算:
式中:
S1、S2、S3——電纜各相中心之間的距離,m
上海起帆電纜非常重視產品質量的保證,通過了ISO9001質量管理體系、ISO14001環境管理體系、OHSAS18001職業健康安全管理體系認證,在行業中率先全面推行ERP、在線OA等信息化管理,產品先后通過CCC認證、礦用產品安全標志認證、采用國際標準產品標志認證、環境標志認證、CQC認證、中國船級社認證、泰爾認證、德國TUV認證、歐盟CE認證、美國UL認證等。公司建有上海市院士專家工作站和上海市企業技術中心,獲得國家發明專利和實用新型專利102項,與上海交通大學、哈爾濱理工大學、河南工學院等高校建立了緊密的產學研合作關系。“起帆”公司名列上海制造業企業50強、上海民營企業100強、上海企業綜合競爭力100強、中國線纜行業最具競爭力企業20強。



